本文首发于微信公众号「声学号角」
在扬声器系统的开发过程中,基于Thiele-Small参数的线性仿真(Linear Simulation)已经是大家的家常便饭。然而,当我们需要评估系统在大功率下的表现——比如音圈在大动态下的直流偏移(DC Offset)、功率压缩以及总谐波失真(THD)时,往往需要构建复杂的有限元模型。
是否存在一种更轻量、更便捷的方式,能够快速评估箱体设计与单体非线性参数的匹配度?
今天分享的这款【扬声器系统失真仿真工具】,或许就是你桌面上那个缺失的效率拼图。相比于我之前的版本,本次更新重磅加入了对倒相箱(Vented Box)和无源辐射器(Passive Radiator)的支持。
01 核心功能:从单体到系统的非线性预测
这不仅仅是一个简单的频响计算器。它的核心逻辑是引入了扬声器单体的非线性参数——、、,结合具体的箱体声学负载,通过数值计算求解扬声器在时域下的非线性微分方程。
它能帮你解决什么问题?
- • 大信号频响预测: 考虑了功率压缩后的真实频响,而非基于1W/1m的简单线性推导。
- • 位移安全评估: 精确计算音盆的峰值位移(),预防打底风险。
- • 稳定性分析: 预测大动态下的直流偏移(),评估系统的动态稳定性。
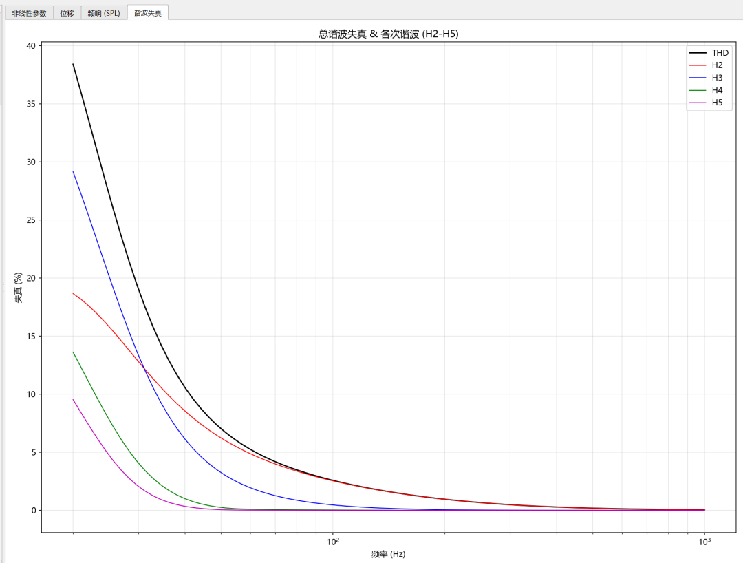
- • 失真分析: 输出2-5次谐波失真及总谐波失真曲线。
- • EQ 预研: 提前模拟 DSP EQ 对位移、频响和失真的综合影响。
02 界面与操作流:极简,但专业
工具采用绿色免安装设计,下载解压即可运行,无广告无插件。
第一步:线性参数与箱体设置



目前支持三种主流箱体:
- • 封闭箱 (Closed Box):设置较大容积即等效为无限大障板(Free Air)。
- • 倒相箱 (Vented Box):经典设计,优化低频效率。
- • 无源辐射器 (Passive Radiator):针对紧凑型低音系统的优化。(注:当前版本暂未引入PR本身的非线性,仿真失真可能略低于实测,可作为理想参考)
Tips: 系统内置了默认案例(10L容积的倒相箱/PR箱),初次上手可以先运行案例体验流程。
第二步:导入非线性参数
这是仿真的灵魂所在。支持导入 Klippel LSI 模块导出或 FEA 仿真的数据文件。


数据格式说明:第一列为位移(mm),后续分别为*、、。*
- EQ 预研: 提前模拟 DSP EQ 对位移、频响和失真的综合影响。

第三步:一键运行与结果分析
点击“运行仿真”,工具将快速求解并生成可视化的分析图表。
1. 非线性参数检查 在仿真前,直观地检查导入的 、 曲线形态,确保数据源的准确性。

2. 位移与直流偏移 (Displacement & DC Offset) 这是系统设计最关键的指标之一。类似 Klippel DIS 模块的输出,你可以清晰地看到随着频率变化,音圈是否存在“跳出”磁隙的风险,以及是否存在非对称力导致的动态中心点漂移。

3. 大信号频响与失真 (Response & Distortion) 查看在大电压驱动下,系统实际的频率响应(考虑压缩)以及各次谐波失真的分布。


03 获取方式
本工具完全免费,旨在为声学工程师提供便利。
下载链接: https://pan.baidu.com/s/1sMuEqGp0KVKXtWW32XrUqw?pwd=ejue
(或者点击文章左下角“阅读原文”直接跳转下载)
写在最后
仿真的价值在于“预见”。希望这款小工具能成为你开发流程中的瑞士军刀,在打样前规避风险,在调试时提供依据。
使用过程中有任何 bug 反馈或功能建议,欢迎在评论区留言交流!