本文首发于微信公众号「声学号角」
在音箱设计中,扬声器单元与箱体构成的系统具有特定的谐振特性。谐振特性直接影响音箱的低频响应特征和总体音质表现。本文将深入探讨封闭式和倒相式音箱的谐振特性,并给出详细的计算公式及推导过程。

一、扬声器单元基本参数
扬声器单元在音箱设计中通常用以下几个关键参数表征:
- Fs (扬声器单元自由空气共振频率):扬声器单元在自由空气环境中自身振动的共振频率。
- Vas (等效顺性容积):扬声器单元悬挂系统的柔顺性(顺性)等效于一个特定容积空气的柔顺性。
- Qts (扬声器单元总品质因数):扬声器单元机械品质因数(Qms)与电气品质因数(Qes)的并联组合,表示单元的阻尼特性,定义如下:

其中,

Mm:移动质量(振膜、音圈等的等效质量)
Rm:机械阻尼
Re:音圈直流阻抗
Bl:磁通量密度(B)与音圈长度(l)的乘积
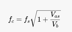
二、封闭式音箱的谐振频率计算公式
封闭式音箱中,扬声器单元安装在一个密闭的箱体内,箱体内的空气弹性与扬声器悬挂系统的弹性共同组成一个新的谐振系统,其谐振频率(fc
)可用以下公式表示:

其中:
- fc:封闭式音箱谐振频率
- fs:扬声器单元自由空气共振频率
- Vas:扬声器单元等效顺性容积
- Vb:音箱内部有效容积
可以看出,箱体容积越小,谐振频率越高,低频响应变差;反之,箱体容积越大,谐振频率越靠近单元自由空气共振频率,低频响应越好,但箱体尺寸过大会导致扬声器驱动力不足,低频控制感减弱。
三、倒相式音箱谐振频率计算公式与倒相孔设计
倒相式音箱是在箱体上开设倒相孔(Bass-reflex),箱体内空气和倒相孔共同构成一个亥姆霍兹(Helmholtz)谐振器。这种结构利用箱体谐振增强低频响应,改善低频效率,具体计算公式如下:
倒相式音箱的谐振频率(箱体和倒相孔共同决定)可用亥姆霍兹谐振频率公式表达:

其中:
- fb:倒相式音箱箱体谐振频率
- c:声音传播速度(常温约为343 m/s)
- S:倒相孔截面积(单位:m²)
- Lport:倒相孔长度(单位:m)
- Vb:音箱内部有效容积(单位:m³)
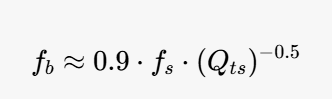
为了获得理想的低频响应,通常需要使箱体谐振频率 fb略低于音箱系统(箱体+扬声器单元)整体谐振频率,该整体谐振频率推荐值可用 Thiele-Small 参数确定的经典经验公式计算:

实际设计时,通过调整倒相孔的长度 Lport或截面积 S,可精确调节音箱的谐振频率 fb。
四、倒相孔气流速度和失真控制的公式
为了避免倒相孔气流湍流及噪声,通常限制倒相孔气流在最大功率下的气流速度:

- vport:倒相孔内最大气流速度(单位:m/s,推荐不超过17 m/s)
- Xmax:扬声器单元最大线性位移(单位:m)
- Sd:扬声器单元有效振膜面积(单位:m²)
- f:扬声器最大位移对应频率(单位:Hz)
- S:倒相孔截面积(单位:m²)
设计音箱时,通过增加倒相孔截面积或调整倒相孔长度,可有效降低倒相孔气流速度,减少气流噪声和失真。
五、小结与实际设计建议
通过以上公式和推导,可以看出:
- 封闭式音箱:容积越大,低频响应越好,谐振频率越低,但箱体尺寸增加。
- 倒相式音箱:通过调整倒相孔尺寸,可在较小箱体内获得更好的低频响应,但设计更复杂,需精确调校倒相孔尺寸与长度。
在实际设计音箱时,需综合考虑扬声器单元参数、箱体容积约束、倒相孔尺寸等,精确计算谐振频率,优化音箱性能。