本文首发于微信公众号「声学号角」
基于一个低频扬声器,将折环改造为如下图所示结构。

取代折环的部分局部磁回路结构如下图所示。

通过外侧线圈的电流大小,控制外侧磁回路的磁间隙中磁场强度,改变磁流变液(MRF)的剪切屈服应力,从而起到控制阻尼的作用。
磁流变液(MRF)和常规扬声器中用到的磁流体(MF)是有区别的。
对外侧磁回路的仿真,和常规扬声器磁回路仿真类似。可以采用有限元方法(FEM)。使用Femm/Comsol等工具都可以轻易实现。
对磁回路进行网格离散化。


通过仿真计算磁感应强度B(磁通密度)。
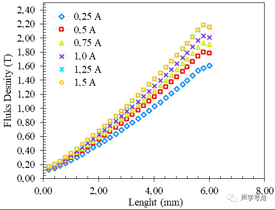
磁感应强度B和线圈激励电流大小的关系:

不同位置的磁感应强度B:位置越深,离线圈越近,B值越大。

以某一款磁流变液(MRF)为例,通过仿真计算磁感应强度B,再用下面的公式可以转换为磁流变液的剪切屈服应力。


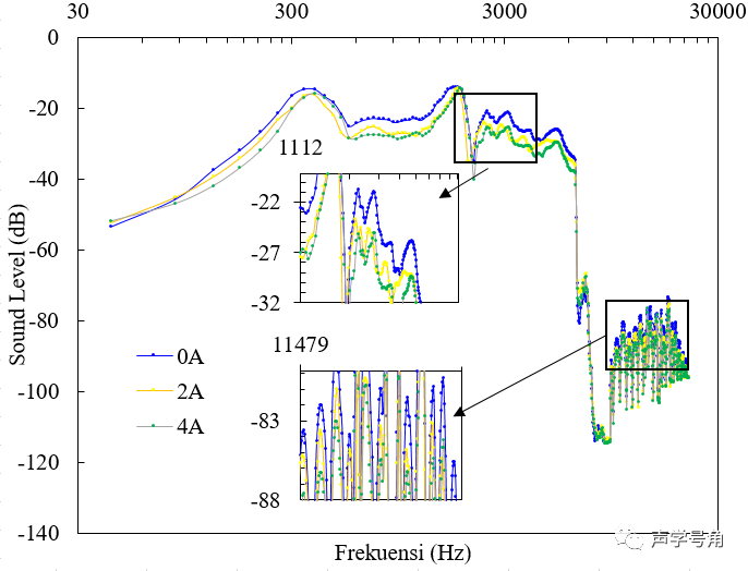
实测结果:

目前看来还不太实用,仅供大家参考,拓宽视野和思路。