本文首发于微信公众号「声学号角」
01
—
阻抗边界
阻抗的概念在结构和声学中非常重要,定义为边界上力/流动变量,和电路阻抗类似(电压/电流)。阻抗边界条件可以在不直接建模的前提下,表征边界的特性。
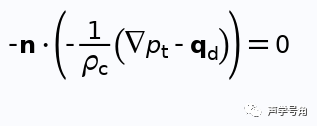
- 硬声场边界表示其边界加速度(或者说速度)的法向(垂直于边界)分量为0。在数学上,这个和声对称边界是等效的。

对零偶极域源qd=0,以及流体密度ρc恒定,则压力的法向偏导为0

软声场边界意味着边界声压消失,即 pt = 0,是某些特定情况下的近似。
阻抗边界一般用于分析介于硬声场边界和软声场边界之间的情况,比如模拟机械结构系统或者吸收边界的特性。
当然需要注意,阻抗边界条件仅将法向速度与压力关联,而不考虑切向(平行于边界)速度。即,使用阻抗边界条件,切向速度会被忽略。
所以说阻抗边界条件是实际边界情况的低阶近似。如果需要考虑切向速度,即对边界非垂直入射的情况,则应该对边界进行建模,或者使用更高阶的模型。
02
—
不同的阻抗概念
通常在声学中,有三种不同的阻抗概念:声阻抗、比声阻抗、机械阻抗。
声阻抗Zac,国标单位Pa*s/m^3,定义为边界平均压力与通过边界的体积流速Q(单位m^3/s)之比。Zac=pav/Q。
比声阻抗Zsp,单位Pa*s/m,定义为压力p与粒子速度u之比。Zsp=p/u。
机械阻抗Zmech,单位kg/s(或Pa*s*m),定义为边界作用力F与粒子速度之比。Zmech=F/u。
对于给定表面积S上值恒定的情况下,这三种阻抗概念的关系为Zmech=S*Zsp=S^2*Zac。
03
—
Comsol中的阻抗边界模型
设置比声阻抗为Zi。其边界条件的频域方程为:

而时域的边界方程为:

Comsol中的阻抗边界模型非常丰富。可以通过RLC电路、生理学、波导末端阻抗、多孔层、特性比阻抗、吸收系数或者自定义的方式进行设置。

挑RLC电路和生理学模型进行简单说明。
- RLC电路阻抗模型

以串联耦合RLC电路为例

其阻抗Zac为

比阻抗Zi=S*Zac,S指边界面积。
- 生理学阻抗模型
生理学阻抗模型包含皮肤、人耳向外辐射、鼓膜、无耳廓人耳,完整人耳。

以鼓膜为例

鼓膜的声阻抗为Zeardrum,比阻抗Zi=S*Zac。
对人耳生理阻抗测量和建模感兴趣的可以参考下面三篇文献:
“Measuring and modeling basic properties of the human middle ear and ear canal. Part I: Model structure and measure techniques”
“Measuring and modeling basic properties of the human middle ear and ear canal. Part II: Ear canal, middle ear cavities, eardrum, and ossicles”
“Measuring and modeling basic properties of the human middle ear and ear canal. Part III: Eardrum impedances, transfer functions and model calculations”
04
—
需要进行手动修正的情况
有遇到一个声学仿真模型,完全相同的设置情况下,1/4、1/2模型和完整模型的结果,低频响应声压级1/4模型低很多。
做了非常多排查的工作,比如网格、几何、边界、激励等。最终怀疑到鼓膜阻抗边界上。通过手动修正后,终于将局部模型和全模型的结果匹配上了。

通过将鼓膜边界中默认比阻抗acpr.Zi表达式乘以2或4。即acpr.imp1.area*acpr.imp1.Zeardrum*4。

初步验证的情况下轴对称模型,或者完整模型都是正常的。使用1/2、1/4模型的时候,目前需要对鼓膜声阻抗边界进行手动修正。
而其他阻抗边界模型比如用户定义、RLC电路等局部模型和全模型是一致的,不需要修正。目前只发现鼓膜声阻抗边界需要进行手动修正。不太清楚这个问题软件内部计算结果差异的具体来源。
05
—
如何修改Comsol模型默认表达式
顺便说说如何修改Comsol模型的默认表达式。
Comsol软件给予了用户非常大的灵活性,可以自己建立各种函数或表达式。
同时内部的各种默认表达式也是可以进行查阅甚至修改的。
在软件左上角找到这只眼睛图标,点击。

在显示更多选项中勾选“方程视图”,确定。即可查阅默认的各种物理场设置的变量和表达式。 其他的选项感兴趣的朋友可以自行探索。

以鼓膜阻抗边界为例,见下图
