本文首发于微信公众号「声学号角」
欢迎大家关注作者慕望星的知乎专栏“麦克风知识总结”
https://www.zhihu.com/column/c_1347707114064994304
点击“阅读原文”可跳转
《Microphone Handbook Vol. 1: Theory》为Brüel & Kjær声学与振动测量公司(简称BK)发布的一份技术文档手册。这份技术文档以BK公司的麦克风产品为例,解释麦克风产品的相关术语,并深入介绍了麦克风及前置放大器背后的理论。
原书的链接如下:
https://www.bksv.com/media/doc/be1447.pdf
本篇文章为对原手册(英文版)相关内容的中文翻译。水平有限,如有不妥之处,恳请大佬指出。
2.3.5 振膜和空气刚度
麦克风灵敏度与振膜系统的刚度成反比,因此必须小心控制。刚度的主要部分是由于振膜的机械张力,它像鼓的外壳一样被拉伸。张力越高,刚度越高,麦克风灵敏度越低。
压强传感麦克风具有内部充气腔,其通常由外壳、绝缘子和振膜构成。理想情况下,这个空腔中没有声压,因此,外部压强会移动振膜并产生电输出信号。然而,由于振膜位移,实际上在空腔中会产生较小的声压。该压强反作用于外部压强,通常将振膜位移减少10 %。这种效应可以用空气刚度来表示,说明空气刚度占膜片系统总刚度的10 %。
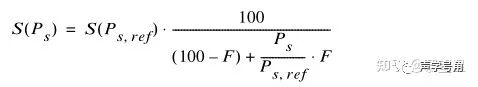
空腔刚度一部分取决于空腔体积,一部分取决于静压。因此,麦克风的总刚度和灵敏度为静压的函数。为了将静压对麦克风灵敏度的影响降至最低,空腔的刚度必须小于振膜的刚度,如下式所示。振膜刚度低的麦克风比振膜刚度高的麦克风需要更大的腔体体积。

其中:

- S(Ps) = 麦克风灵敏度(静态压强的函数)
- Ps = 静压
- Ps,ref = 参考静压,在该压强下,“F”有效
- F = 参考静压下空气刚度的百分比分数(空气刚度与总振膜系统刚度之比)
2.3.6 静态压强均衡
静压可能在几小时内变化,也可能随着测量地点(海拔高度)变化。压强变化很容易比要测量的最低声压大10^8到10^9倍。为了消除这种压强变化的影响,麦克风配有一个静压均衡通气孔。通气孔是一个狭窄的空气通道,确保内腔的静压跟随着环境的压强。如果没有通气孔,静压变化可能会产生大的干扰信号(放大器过载),并可能会使膜片明显偏离其正确的工作位置。这将导致故障或显著的灵敏度变化。内腔的微小通气通道通向麦克风的侧面或后部,麦克风因此被命名为“侧面通气”或“后部通气”,参见图2.5。对于某些特定应用,选择合适类型的麦克风很重要,参见第2.3.7节和第5章。

图2.5 侧部和后部通气麦克风
必须非常小心地控制通气孔,以均衡静压变化,而不抑制要测量的声压的低频分量。由于这些压强变化的性质是相同的,这并不总是可以避免的。
2.3.7 低频响应和通气孔位置
麦克风压强均衡系统的时间常数通常为0.1秒。这是一个很好的实际折衷方案,因为均衡通常足够快以消除静压变化带来的干扰。它还为麦克风提供了平坦的幅度响应,低至5 Hz以下,足以满足大多数应用的要求。
低于10 Hz时,麦克风的频率响应受压强均衡时间常数和外部通气孔位置的影响很大。通气孔可能暴露在声场中或在声场之外,参见图2.6。在两种情况下,响应非常不同。

图2.6 在声场内部(B)和外部(A)的压强平衡通气孔。不同的情况会导致低频下麦克风响应的不同
在一般的就地测量条件下,通气孔会暴露在声场中。在这种情况下,通风孔将趋向于均衡低频处的声压。这减小了振动膜前后之间的压强差,并导致较小的振膜位移和较低的麦克风灵敏度。频率越低,这种效应越显着。灵敏度将随着频率降低继续下降。在非常低的频率下,斜率最大可达每十倍频程下降20 dB,参见图2.7中下方的曲线。

图2.7 静压平衡排气孔位于声场内部(B)和外部(A)的情况下的低频响应
响应降低3 dB处的频率称为麦克风的下限频率。在Brüel&Kjær,通常将250 Hz用作参考频率,因为该频率位于频率响应特性的最平坦和最明确定义的部分之内。
在某些测量情况下,只有麦克风振膜暴露在声场中。当麦克风用于小型外壳(例如各种类型的声耦合器)中进行测量时,通常会出现这种情况。在这种情况下,响应不会随着频率降低而下降。实际上,它随着频率的下降而增加,这是因为由内腔中的相对压强引起的刚度系数随着通气孔方式的平衡而变小,如图2.7所示。对于空气刚度系数较低的麦克风,低频灵敏度的增加较小。
下限频率是静压强的函数,因为这决定了内腔的柔顺度。通常,这种影响可以忽略,但是在特定情况下,响应可能会发生重大变化。增压箱、潜水钟和某些飞机的内部可能就是这种情况。对于环境压强为0.5、1.0、2.0和10 bar以及空气刚度为10%的传声器,图2.8中给出了计算的幅度和相位响应的示例。注意,曲线的计算没有考虑腔壁的热传导效应。因此,这些曲线并不精确,但是仍然可以很好地说明气压对低频响应的影响。

图2.8 低频麦克风响应的幅度受环境压强影响。显示的响应是经过计算的,并且均以250 Hz归一化。它们适用于在额定环境压强(101.3 kPa)下具有10%空气刚度的麦克风:a)1 bar,b)2 bar,c)10 bar,d)0.5 bar
低频相位响应也将随着静压强的变化而变化。相位响应的变化可能比幅度的变化更为严重,尤其是在粒子速度和强度测量方面。
紧密相位匹配的麦克风对用于此类测量。选择一对麦克风,使其基本一致,并随压强同等变化。它们的下限频率应该相同。这也适用于其空气刚度系数。图2.9展示了对应于图2.8的幅度响应的相位特性。

图2.9 低频麦克风响应的相位受环境压强影响。所示的计算响应对于在标称环境压强(101.3 kPa)下具有10%空气刚度的麦克风有效:a)1 bar,b)2 bar,c)10 bar,d)0.5 bar
对于一般用途的测量级麦克风,下限频率在1 Hz和2 Hz之间。具有较长时间常数的其他类型麦克风也可用于较低频率的测量。还有更高截止频率的麦克风,这类麦克风在频率范围的其他部分进行低电平声音测量时,可以减少次声带来的可能干扰。
上图所示的幅度和相位响应曲线是使用第2.3.10节中所示的模型计算的。