本文首发于微信公众号「声学号角」
多孔材料被广泛应用于吸声。从其微观结构确定多孔介质的整体声学特性的方法已经有很长的历史。经典方法是假设理想化的微观结构,例如具有恒定截面的孔,纤维或颗粒的阵列。但实际用于吸声的多孔材料的典型微观结构要复杂很多。
为了同时允许任意形状的孔,使用粘滞特征长度,考虑粘滞效应在窄孔中的影响。后来为解释热效应,引入了热特征长度,热导率和热曲折性。
下图是Comsol软件自带的其中一个多孔介质声学模型JCALP,需要确定的参数还是非常多的。这个是目前最完整的半分析模型。满足一定的条件下,也可以适当简化。


当材料的微观结构非常类似于均匀一致的曲折圆柱孔阵列,而没有太大的横截面变化时,所需的参数数量减少到六个,简化为JCAL模型。


下图是一种由具有圆形横截面的直的平行纤维组成的周期性纤维材料。假定波的传播方向垂直于纤维,意味着从微观几何形状来看可以认为是周期性的二维结构。

放在模型中使用的周期性纤维层的微观结构和边界条件:

假设的条件:等温,在纤维和后壁的固体表面上无滑动,在流体带域的顶部和底部边界上是周期性的,并且在空气层的外表面上有绝热压力激发。

用于多尺度计算的周期性纤维材料在计算流体域上的有限元网格

计算得到的速度、温度分布
周期性纤维材料的动态粘滞渗透率计算结构:DM –直接多尺度计算;JCALP,JCAL,JCA –使用指定模型的混合多尺度计算


周期性纤维材料的动态热导率:


周期性纤维材料的动态粘性曲折度:


周期性纤维材料的动态热曲折度


周期性纤维材料的波速和衰减:
这里简单说一句,波速的降低或许才是Bass材料能提升等效背腔容积的原因,而不是有些人说的空气分子吸附。

周期性纤维材料和自由空气中的波长:

不同厚度h的吸声效率

另外有一种规则的周期性泡沫,立方体中堆积着相同的球形孔,REV。

这种多孔材料是各向同性的。可以利用几何对称性分为1/8,1/16或1/48对模型进行简化。

规则周期泡沫REV流体域截面上的有限元网格:

速度和压力分布:

温度分布

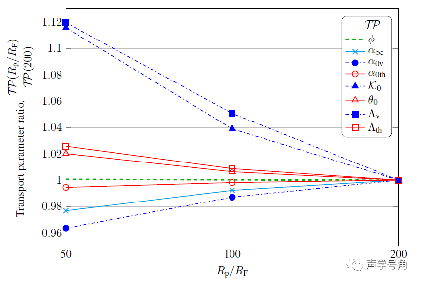
多孔周期性结构的横截面,其中添加了带有平滑拐点的圆角,以便精确重建几何形状:

各种传输参数TP随孔半径Rp/减小的圆角半径Rf的相对变化

周期性泡沫的动态粘滞性和热导率:


周期性泡沫的动态粘性曲折度:


周期性泡沫的动态热曲折度:


周期性泡沫的波速和衰减

具有指定厚度h的吸声系数:

更复杂的模型也可以用类似的方法进行仿真分析计算。