本文首发于微信公众号「声学号角」
目前新冠病毒爆发,全球感染人数超过1亿,世界各地很多人都戴上了口罩。而口罩对说话的声音将产生损耗。
JASA近期有发表一篇名为"Impact of face masks on voice radiation"的文章。
https://asa.scitation.org/doi/10.1121/10.0002853
点击左下角“阅读原文”即可跳转。文章可以免费阅读和下载。
使用仿真头+嘴进行测试,包括频响和指向性。

对比不同类型的口罩,1.一次性医用口罩,2.KN95医用口罩,3.抗粉尘口罩,4.细纤维围巾,5.单层棉布口罩,6.双层棉布口罩

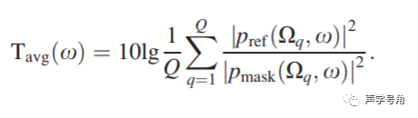
传输损耗,戴口罩和不戴口罩的差异


下图左侧是正面声辐射的测试结果,右侧是平均声辐射的测试结果。

口罩6传输损耗较大,应该是由于布比较厚的原因。
整体来看,口罩4传输损耗最小,不过对病毒可能也起不到多少防护作用。
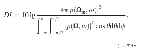
指向性测试结果:


指向性指数DI的测试对比结果:



水平面(上)和垂直面(下)的传输损耗分布图:


启发:如果针对手机拾音和耳机拾音来说,结论和文章远场拾音结论应该会不太一样。如果可以进行详细测试,再针对性进行拾音补偿,或许可以提高戴口罩时手机和耳机拾取人声的清晰度。