本文首发于微信公众号「声学号角」
在声学产品中,使用限幅器(Limiter/Compressor)是常见的做法,以避免过载并确保系统保护,一般主要是用于位移保护和温度保护。
通常也会被称为动态范围控制器dynamic range controllers(DRC),或者叫动态压限。其增益会动态根据输入信号进行调整。
为平稳控制,增益需要随时间平滑变化,一般会有一个上升电平时间常数(attack),以及衰减电平时间常数(release)。
目前是基于线性系统,假设位移和电压成正比,模型相对比较简单。现在算法也可以演化到进行非线性系统的控制。
DRC包含的整个系统可以非常复杂,所以需要一些经验性的调试才能找到最优的参数。

扬声器简化示意模型
三星公司提出一种新颖的基于能量的限制器,使用物理模型控制扬声器中存储的总能量,以使得峰值位移保持在规定的范围内。号称这个技术可以对扬声器振膜的最大位移进行平稳而且精确的控制。
美国三星电子研究中心 Brunet Pascal等人在AES发表了论文 “Energy Limiter for Control of Diaphragm Displacement and Port Velocity”
https://www.aes.org/e-lib/browse.cfm?elib=20958
点左下角“阅读原文”可以跳转
先基于密闭箱,再扩展到倒相箱,以限制倒相管中的空气速度,并避免湍流噪声。相信这个模型再扩展到控制无源辐射器的位移也是没问题的。
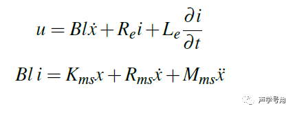
下图是扬声器/密闭箱的等效电路图

扬声器/密闭箱的运动微分方程组,含义在之前的文章中解释过很多遍,就不过多重复了。

u是随时间变化的输入电压,i是随时间变化的输入电流,Re是音圈直阻,Le是音圈电感,x代表位移,x’代表速度,x’‘代表加速度,Kms代表悬挂系统刚度,Rms代表力阻,Mms代表有效振动质量,Bl代表驱动力系数。
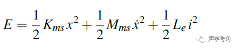
而能量和扬声器最大潜在位移是有直接关系的。扬声器内存储的能量为势能+动能+电能,如下面公式所示

当所有能量都集中在悬挂系统中的时候,即总能量都转换为势能时,位移最大。对于给定的能量,潜在最大位移表达式|Xsup|:

为了将位移限制在某个范围Xlim内,能量也必须受到限制

通过上面的讨论,可以说明监视和控制扬声器存储的能量,可以用来预测和限制扬声器的最大位移。
使用动态音乐信号激励的扬声器仿真:

当速度为0时,位移达到最大Xsup,这个时候的存储电能相对于机械能可以忽略不计。
整个信号处理的链路框架:

下面介绍下每个模块的功能和原理。
Loudspeaker Model扬声器模型:基于扬声器参数以及输入电压,可以得到音圈位移,速度和输入电流

Energy Computer能量计算器:基于前面提到的公式计算扬声器存储的总能量E
Static Gain Computer静态增益计算器:通过能量计算需要调整的增益大小
线性限幅的结果:

Temporal Gain Smoothing时域增益平滑:防止增益过快变化,影响声音质量。
直接瞬间调整增益:

对比稳态增益和平滑增益的响应曲线:

Look-Ahead Delay前瞻延时:将电压输入进行延时。因为存在时域增益平滑,需要一小段时间来更改增益,为这个更改提供对应的时间。
同样的模型拓展到倒相箱,以限制倒相管中的空气速度,并避免湍流噪声。
倒相箱的模型会更复杂些:

其中Sd代表扬声器振膜的有效振动面积,Rap代表倒相管的声阻,Map代表倒相管的声质量,q指倒相管的体积速度(随时间变化),p指箱体中的声压(随时间变化)
仿真得到的随音乐信号激励的倒相管风速以及单元速度的动态变化:

倒相管和箱体中存储的能量是倒相管中空气质量的动能+箱体内空气作为空气弹簧的势

扬声器单元能量和前面讨论的一致,势能+动能+电能

正弦激励情况下,箱内的势能和管口的动能以及箱体和管道的总能量:

管中最大速度发生在总能量等于管中动能的时候

限制能量

整个信号处理的链路框架:


闭箱下,某首歌,某一特定系统参数前提下,无限制,电压限制,以及能量限制的实测对比:




倒相箱下的测试:





这个模型的优点是:采用物理建模,比线性电压限制准确性更好,可以更接近扬声器的极限输出。而且容易扩展到倒相箱和无源辐射器。
缺点是基于线性系统,如果能采用非线性模型的话,控制的精确度会更好。