本文首发于微信公众号「声学号角」
01
—
磁路非线性
磁路非线性可以分为两种类型
静态非线性
和音圈激励的电流以及频率无关
磁通密度分布非线性B(x)
力电转换系数非线性BL(x)
动态非线性
和音圈的电流,位置,以及频率有关
音圈电感是其位置,电流和频率的函数Lvc(x, i, f)
磁路导电部件中的涡流,导致电感减小L(x, i) ,电阻损耗增加R(x, i)
磁通变化ΔΦ(x, i) ,以及磁阻力Frel
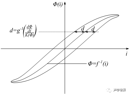
磁滞Φ= F(i,t)

02
—
微分方程组
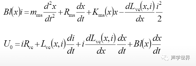
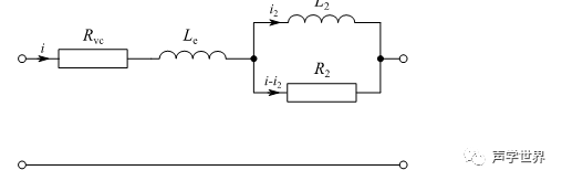
描述动圈式扬声器非线性特性的等效电路图,以及微分方程组


上述的含义已经在不同的场合多次阐述过了,不理解的朋友可以多查阅资料多思考。
03
—
涡流
磁路导电部件中的产生的涡流,会导致电感减小,但同时电阻损耗增加

04
—
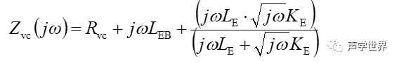
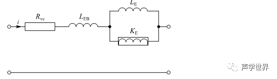
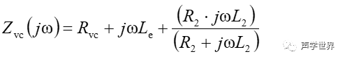
音圈阻抗
仅考虑磁路组件的音圈阻抗通用表达式

有不同的模型来阐述Reff(f) 和 Leff(f),最常用的有以下几种
Leach模型

Wright模型

- Thorborg模型(半电感模型)


- LR-2模型


目前最通用的LR-2模型,和大部分产品的吻合得不错,且具有时域表达方式,容易实现非线性系统的描述。
当然也有学者提出了更精细的模型,感兴趣的可以自行搜索相关资料。
05
—
稳态BL(x)仿真
以Femm为例说明稳态BL(x)仿真的方法
简单方法
仿真模型不放实际音圈
直接根据磁通密度分布B(x)和音圈线长L计算得到BL(x)



详细方法
将通电流i的音圈添加到仿真模型中
通过仿真计算获得洛伦兹力F
对音圈在不同位置重复仿真



06
—
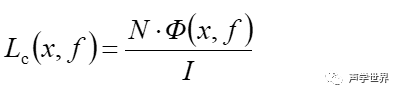
频域计算L(x)
- 在音圈中通入固定频率的电流i = I sin(ωt)
- 可以通过仿真获得通过音圈的磁链Φ来计算L
- 针对不同频率和位置重复仿真


在每一个位置,可以将结果转换为LR-2模型,一般采用多项式拟合
