本文首发于微信公众号「声学号角」
01
—
号角波导简介
号角和波导之间没有非常明确的分界线

号角和波导的主要作用:
•通过增加声负载来提升效率
•指向性和声压覆盖控制
02
—
直接辐射扬声器和带号角压缩高音的效率对比

•带号角压缩高音有点类似功放,放大输入信号。
•设计上的问题(声场谐振等)或者物料和装配的公差也同样很容易成倍地反应到最终的频响和失真上。
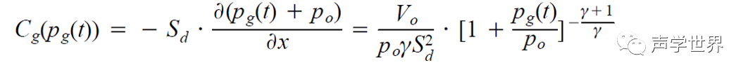
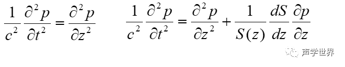
03
—
韦伯斯特方程

平面波方程
•韦伯斯特方程是针对平面波传播推导得到的
•方程基于的某些假设偏离了真实号角中声波传播
04
—
无限长号角声阻抗


双曲线号角的声阻抗最优,抛物线号角的声阻抗最差
05
—
有限长号角声阻抗

06
—
恒指向性号角

号角波束宽度

07
—
号角声传播非线性
在高声压的情况下,空气变得更"硬",声速也将增加。声速C=C(p)。这是号角声场非线性的主要来源,也称之为声传播失真。


- 上图是仿真在行波管中(声压幅值不变),高声压下不同距离接收到的声波波形。
- 可以看出,距离越远,波形畸变越严重。由此可以看出,在可行的前提下,号角长度应该尽可能短,以降低失真,尤其是高声压下的失真
08
—
号角波导仿真







•优化线阵列上的波导管
•计算恒指向性号角波束宽度
09
—
号角波导一体的样品




10
—
号角演进





11
—
波导演进






12
—
JBL号角






13
—
JBL波导


