本文首发于微信公众号「声学号角」
第二届AES国际耳机技术大会刚于2019年8月29日在美国加利福尼亚州旧金山结束。

会议中有发表一篇论文“Design and electroacoustic analysis of a piezoelectric MEMS in-ear headphone”(压电MEMS入耳式耳机的设计与电声分析)。作者是来自德国的Andreas Männchen等人。
文中深入探讨了带有压电MEMS扬声器的入耳式耳机演示样品。演示样品包括,MEMS扬声器,耳机外壳,信号处理和应用特定的功放。研究的主要焦点在于MEMS耳机的详尽电声分析,包括电阻抗测量,各种声学测量以及压电MEMS驱动器的热行为研究。结果表明该技术在入耳式应用中具有很高的潜力,并认为在未来的改进中可以提供更好的声学性能。
压电MEMS扬声器样品简图

4片三角形的悬臂压电薄片,组成一个4mm*4mm的正方形。每片压电片由15um厚的多晶硅和2um的PZT(压电锆钛酸铅)组成。
压电片之间留9um间隙,以便机械解耦,并提供尽可能大的驱动位移。间隙非常窄,考虑空气的热粘性,空气泄露很小,可以忽略。所以虽然压电片之间有间隙,但可以当成一个整体。这样机电效率可以提升,并且不需要额外的柔性膜片。
压电MEMS入耳式耳机样品简图

前后腔设计和DSP调试和常规耳机是一样。
不过功放需要特殊定制。因为需要至少等于音频信号交流电压幅度的正向直流偏置电压,并且放大器必须能够稳定地驱动相对高的容性负载。
演示样品实物图片

阻抗幅值和相位曲线,激励电压1V直流偏置/ 0.2V交流

阻抗呈现容性。幅值斜率约-6dB/oct。从77kΩ@20Hz到84Ω@20kHz。相位基本保持-90°,除了9.3kHz出现一个谐振。电容约等于99nF。
声压级频响曲线测试结果,包含和不包含DSP。

频率响应测试的耳模拟器是根据IEC 60318-4采用GRAS RA0401。因为低频阻抗非常大,所以虽然激励电压需要较高10V,其功耗相对常规耳机其实会更小。
转换为相对于1mW功率的灵敏度

失真,1V不带DSP

失真,1V 带DSP

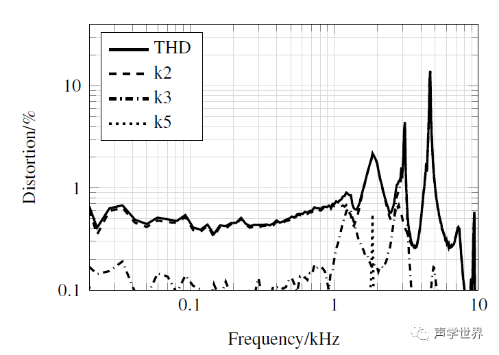
失真,10V 带DSP

1V激励时,失真还可接受。10V激励时中频失真较高。
主要是2次谐波失真,应该是存在一个非对称的非线性因素。很有可能是压电片本身的形状和材料等特性造成的。
互调失真



温度上升测量

无外壳,仅仅是压电MEMS扬声器。
器件表面增加了一层哑光黑色薄膜喷漆,以提高热辐射率。
在最恶劣的条件下,20kHz,10V直流,10V交流正弦信号激励下,172秒后最高温度稳定在27.2°,温度仅上升6.5℃。
这也是采用压电MEMS扬声器的优势之一,温升很低。
未来改善的方向
提高灵敏度。
改善压电片的形状和材料特性。可以提高输出的声压级或者缩小尺寸。
降低失真
增加机械阻尼,需要找到对应的材料和工艺
改变压电MEMS的设计,比如采用双向压电片,或许可以降低偶次谐波失真和互调失真。
自适应的非线性补偿。构建压电MEMS耳机的模型,通过音频算法来补偿失真。
改变压电材料。比如采用铝氮化钪(AlScN)等。这种材料已被证明具有高压电线性,可进一步降低非线性失真。此外,预计AlScN的材料变化会增加传感器灵敏度并消除对直流偏置的需求。可以提高输出的声压级或者缩小尺寸。且电容显着减小,从而简化了放大器电子元件。
除了耳机之外,压电MEMS扬声器也有可能应用在可穿戴设备,助听器,智能手机接收器以及智能手机或平板电脑等移动设备。

上面是我的个人微信,加我的时候请表明身份,注明来意。