本文首发于微信公众号「声学号角」
01
—
有效辐射面积Sd
前期对扬声器有效辐射面积Sd的计算方法和仿真过程做了一些描述。

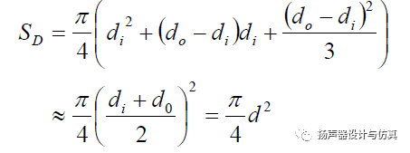
对常规单半圆悬边(或者叫折环)的单元,R. Small提出了一个近似计算的公式。

所以,对常规单元来说,直接用悬边的中间位置计算Sd即可。对跑道形或者方形单元也是同样适用的。
Sd的准确计算,尤其对微型扬声器比较重要。因为本身振动面积不大,计算偏差过大,会导致灵敏度,Vas等参数计算错误。
下图是某一个频率下,一款耳机单元的振动情况,以及位移随振膜位置的分布。

微型扬声器Sd的测试方法主要有两种。
- 闭箱测试


第一张图是实测过程,第二张图是原理图。通过激光监测膜片位移。通过麦克风监测腔体内声压变化,从而得到腔体内容积的变化。通过换算即可得到有效振动面积Sd,以及Sd随频率变化的关系。
- 激光扫描


通过激光扫描整个振膜表面的振动情况,然后计算位移面积分/音圈位移即可得到Sd,以及Sd随频率变化的关系。

可以取有效频率范围内,比较稳定一段的平均Sd认为是单元的有效辐射面积Sd。
仿真Sd,以及Sd随频率变化的方法在之前的文章中讲过,就不再复述了。
02
—
有效辐射面积非线性Sd(f,x)
通过前面的论述,我们知道,有效辐射面积Sd是和频率相关的一个参数。
但同样Sd和位移也是存在相关性的。不过相关的研究非常少。
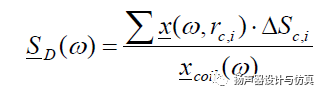
对常规单半圆悬边的单元,可以推导得到近似Sd(x):

对非完全规整的单元,可以通过仿真的方法来计算Sd(x)。


据说Klippel内部正在内测测试Sd(x)的功能,需要采用直流+激光Scanner系统扫描的方式来测量。可能会在后续的版本中推出这个功能。
Sd(x)变化较大的时候,比较容易引起互调失真。
下面两张图是尝试性地计算Sd(f,x),两种不同的显示方式:


