本文首发于微信公众号「声学号角」
01
—
磁液在扬声器上的应用
磁液主要成分是超细磁性颗粒(10纳米级别四氧化三铁)、表面活性剂(防止磁微粒凝聚)和载液(水,烃类,酯类油脂等)。

目前在扬声器产品内大量使用。包括各类动圈式扬声器,甚至动铁扬声器也在使用。


磁液在扬声器中应用的主要功能:
加快散热,从而降低功率压缩,提升承受功率
增加阻尼,使得频响曲线更平滑
使音圈保持中心位置(定中)
磁液在使用的时候,要注意控制好量。不能太多,防止飞溅。
同时生产的时候要尽可能保持磁液量的一致性和稳定性。不然容易发生Q值波动较大,fs附近频响和阻抗曲线偏移。

02
—
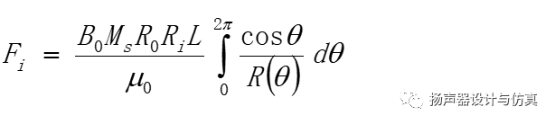
磁液定中力

分析一款内磁加磁液扬声器。

对音圈进行轻微扰动,可以得到其定中力:

结论:为获得最大定中力,需要将磁液加注到磁间隙内侧(常规磁路充磁方向)。当然,为最大化散热考虑,需要内外都加注磁液。
参考2011年ISEAT《对使用磁液的扬声器的研究》。具体推导过程见论文。
