本文首发于微信公众号「声学号角」
01
—
阻抗曲线
之前在群里问过这个扬声器额定阻抗估算的问题,没得到非常满意的答复。就自己琢磨研究了一下。最开始是希望能通过估算额定阻抗,从而预估其额定功率。因为功率试验的电压是以额定阻抗为基准来计算的。

由最基础的扬声器等效电路可以得到:
阻抗模的表达式

绘制阻抗曲线

02
—
估算额定阻抗
对上述阻抗模的表达式进行求导操作,然后寻找导数为0的点,即极值点(极小值)。
通过计算,找到令下述表达式等于0对应的频率。然后再将频率点代入上述阻抗模的表达式即可找到额定阻抗。

确定了扬声器的额定阻抗和其对应频率的准确值,才能成功设计音箱的分频网络,从而求出每个扬声器所能承受的最大功率,这对音箱设计是很关键的。 单对扬声器单元本身来说,确定好额定阻抗也能对其承受功率有比较好的估计。
03
—
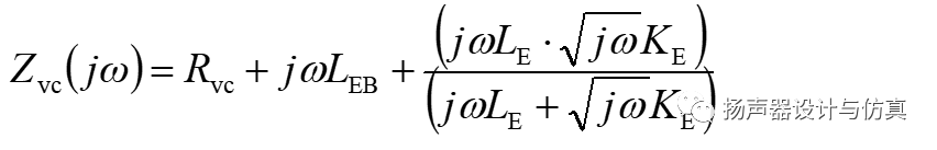
复杂模型
上述讨论均基于简化模型,未考虑复杂的电感模型,比如LR-2模型,LEACH模型,或WRIGHT模型等。

- LEACH模型

- LR-2模型


- WRIGHT模型

- LR-3模型

复杂模型得到解析解的方法可能会比较麻烦。不过基于同样的原理,得到数值解是很简单的事情。
总的来说,这种方式只能做为一种粗略的预估。
这篇文章尽是公式,放两张涡流仿真的动态图吧。一个随音圈位置变化,一个随频率变化。涡流效应会减少电感,但增加电阻损失。


