本文首发于微信公众号「声学号角」
Comsol 5.3版本中增加了扬声器驱动单元中磁路的拓扑优化示例。使用拓扑优化,用于确定非线性铁轭的形状。 确保性能最优的同时尽量减小重量,实现更小、更轻的设计。
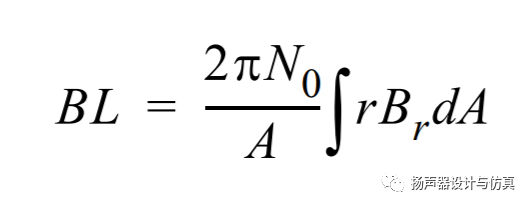
BL值的求解方式

其中, Br 是磁通密度的 r 分量, N0 是线圈匝数, A 是线圈的截面面积。
原设计方案磁力线分布:

绘制的优化后二维轴对称磁路几何中的磁通密度。


可以将优化的形状导出为文本文件中的插值函数,并将其作为几何导入。

以上提到的示例在Comsol中“案例库”路径:
AC/DC_Module/Other_Industrial_Applications/magnetic_circuit_topology_optimization