本文首发于微信公众号「声学号角」
- 引言
声学系统比如扬声器,麦克风等,经常会抽象成集中参数,然后用电路分析软件SPICE,Microcap等软件进行等效电路仿真分析。
这些声学系统最常见的是圆形活塞模型。在数学上,带障板圆形活塞的辐射阻抗是有确定的表达式的。但很多电路分析软件并不支持Bessel函数等高阶表达式。
因此,Scott Porter和Stephen Thompson在2009年AES 127th会议上发表了一篇论文《A Preliminary SPICE Model to Calculate the Radiation Impedance of a Baffled Circular Piston》,提出一种计算圆形活塞辐射的SPICE子电路,使得所有频率的辐射阻抗都达到良好的近似。
借这个模型也来谈谈还是比较复杂的声辐射阻抗。
- 数学模型
声辐射阻抗相当于流体对声源活塞表面的加载

其中实部

虚部

k是波数,a是活塞半径,A是活塞面的面积,ρ0和c0是流体的密度和声速。
实部和虚部随ka的变化可以采用matlab,mathematica等数学软件进行绘制。

- 近似表达式以及对应的SPICE模型
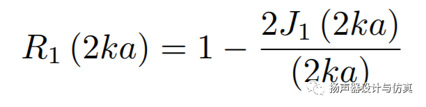
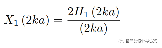
一般来说,我们是在远场进行测量,即ka»1。
在2ka»1时,可以得到近似的表达式:


精确解和上述近似解的差异绘制如下:

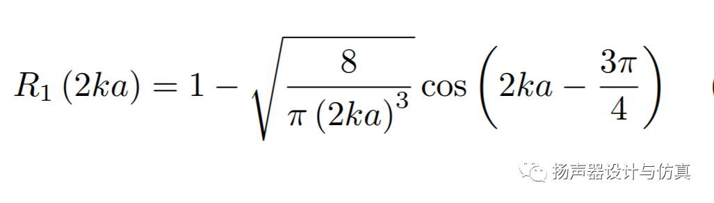
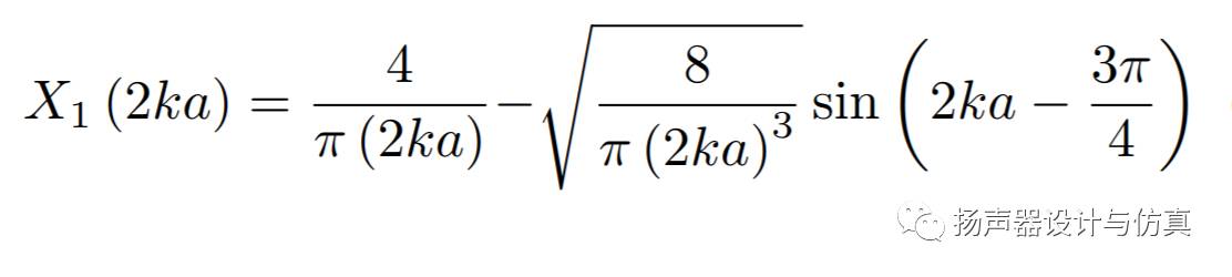
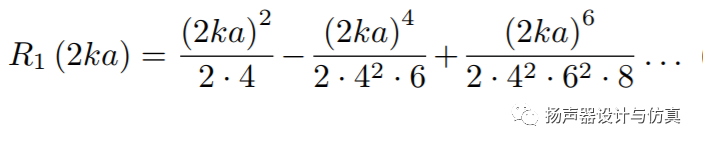
在ka比较小时,对表达式进行级数展开


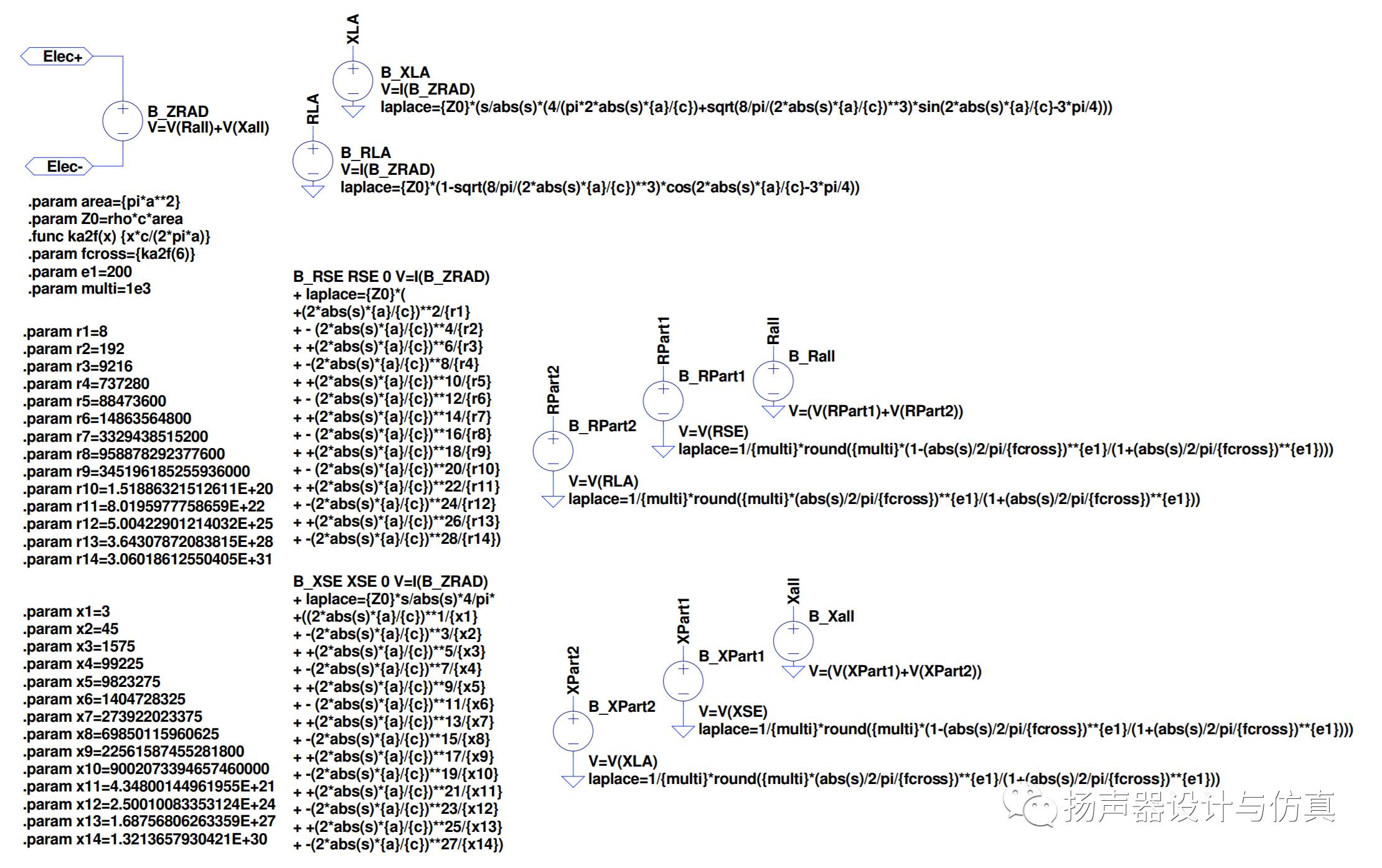
结合以上两个近似表达式,可以在SPICE中构建出辐射阻抗电路

- 近似表达式和精确模型的对比
由以上SPICE中构建出电路得到的辐射阻抗实部和虚部:
相对误差:

绝对误差:

这种误差程度在工程应用上是完全可接受的。