本文首发于微信公众号「声学号角」
扬声器音盆组谐振频率 F0 是设计扬声器的重要参数,其测试准确性以及管控十分重要。
一、背景
扬声器音盆组谐振频率

M 为音盆组的等效质量;C为音盆组的顺性。
音盆组的等效质量M=音盆质量+胶水重量+1/3*复合边可等效弹簧质量
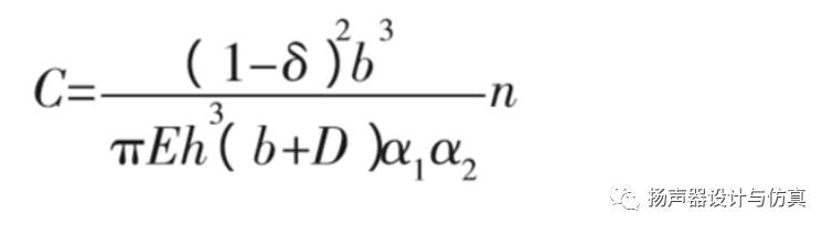
音盆组的顺性C主要取决于复合边的形状和材料。以下是音盆组的顺性C的经验公式

以上δ是面密度, b 为单个折环宽度, E 为折环杨氏模量, h 为折环高度, D 为外折环直径, α 1 是与折环 形状有关的参数,正弦形为 1, α 2 是折环总的宽度和 高度之比, n 是折环个数。
当然以上参数过多,而且部分参数是很难准确得到的。所以其意义不在于定量准确计算音盆组的顺性C,而是可以定性理解音盆组的顺性C。知道复合边的形状和材料对音盆组的顺性C的影响。

每个音盆组做好后,在一定的外界条件下(主要是温度和湿度),都具有一个固定的 F0。所以音盆组F0是一个相对值。
注意:由于材料的蠕变效应,采用不同的力驱动音盆组进行测量时,F0会存在差异。在测量设备精度可以保证的前提下,驱动力应尽可能小。
二、音盆组F0的常规测量方法和设备
2.1测试原理
目前音盆组F0的常规测量方法和设备如下图所示

测量原理为:当扫频仪输出扫频信号,作为激励源的扬声器产生振动,通过被测音盆组后腔空气推动被测音盆组振动,并反过来,通过后腔空气,影响激励源扬声器振动系统的振动,使其动生阻抗发生变化。这时候的音盆可以类似看成无源辐射器。
2.2 测试过程中可能会对结果准确度产生影响的因素
(1)温度变化影响。
当外界温度变化时,引起折环材料杨氏模量E的变化,导致顺性C的变化,使Fo发生变化,一般温度升高,C增大,Fo降低。
(2)湿度变化影响。
环境湿度变化,引起锥盆含水率变化,导致E和M的变化,使Fo发生变化。
(3)激励功率的影响。
当激励源输出功率变化时,Fo也会受到影响,一般功率增大,Fo变小。这是由于由于材料的蠕变效应,采用不同的力驱动音盆组进行测量时,F0会存在差异。在测量设备精度可以保证的前提下,驱动力应尽可能小。
以上三点对所有测量方法都具有影响,故应规定在同一温度、湿度和功率范围内测量。
2.3 测试原理可能会对结果准确度产生影响的因素
(1)被测音盆后腔空气影响。
空气是个弹性体,具有一定的等效质量和顺性,并参与振动,其体积大小和密封状况直接引起被测锥盆的M和C的相对值发生变化,从而使Fo偏离真值。
(2)音盆中孔的影响。
常规音盆中间都是有孔的,为了和音圈装配。而孔可以类比于倒相管,会形成谐振,并对最终的测试结果造成影响。尤其是孔对比音盆较大的时候,比如2寸音盆使用1寸的中孔时。
三、通过激光测量音盆组位移的方法来测量音盆组F0
3.1****测试原理
现在有通过激光测量音盆组位移的方法来测量音盆组F0的设备。通过测量音盆组位移最大的频率点,来表示音盆组的F0。


3.2 测试原理可能会对结果准确度产生影响的因素
音盆组F0应该是速度共振频率,但该设备测试的是位移共振频率。
而位移共振频率和速度共振频率不完全等同,其相互之间的关系:

当然,通常情况下音盆组Qm值会比较大,两者之间是比较接近的。但总会有差异,测试到的位移共振频率比实际音盆组的F0会略小。
设备如果改进算法,测试速度共振频率,应该可以规避掉这个可能会对结果准确度产生影响的因素。当然这对硬件设备(激光和采集卡等)的要求会更高。
四、总结
扬声器音盆组谐振频率 F0 是设计扬声器的重要参数,其测试准确性以及管控十分重要。对不同音盆组谐振频率F0测试的仪器的原理和准确度的理解是很有必要的。