本文首发于微信公众号「声学号角」
很早之前我有写过一篇关于扬声器低频失真仿真的文章。【扬声器系统设计与仿真】扬声器失真仿真
汇总了行业内主要的扬声器失真仿真方法,主要都是采用的数值仿真方法。




今天要提到的是一种新的思路。
GGEC(国光电器)的Wei, Shaolin等三人在AES上发表过一篇题为“Low Frequency Nonlinear Model for Loudspeaker Transducers”的论文。
http://www.aes.org/e-lib/browse.cfm?elib=17708
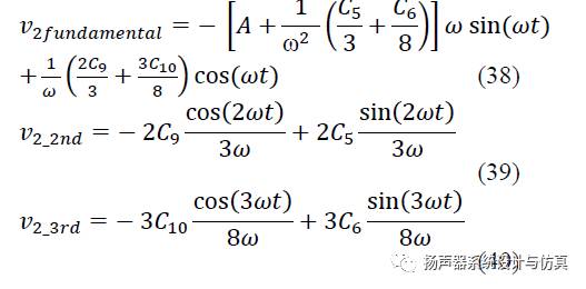
尝试了一种扬声器单元低频非线性模型的迭代求解法。最终模拟出来的扬声器位移/频响/二三次谐波失真等都可以用非线性的系数来表示。是一个新的贡献。 最初的时候,我还和魏老师探讨过这个问题。


最终得到用系数表示的基波/二次三次谐波

频响曲线/二三次谐波失真的计算/测试对比

这种求解方法的缺陷:非线性系数目前只计算到2阶,主流是采用3阶或4阶,这样才能拟合得比较好。从最后的计算/测试对比也可以看出来,对频响曲线的吻合得还是很好的,但谐波失真的吻合程度还不够。