本文首发于微信公众号「声学号角」
【一位朋友的投稿。他是科班硕士,一线大公司研发经验。理论功底和仿真水平都很好。 欢迎各位来稿。(●’◡’●)】
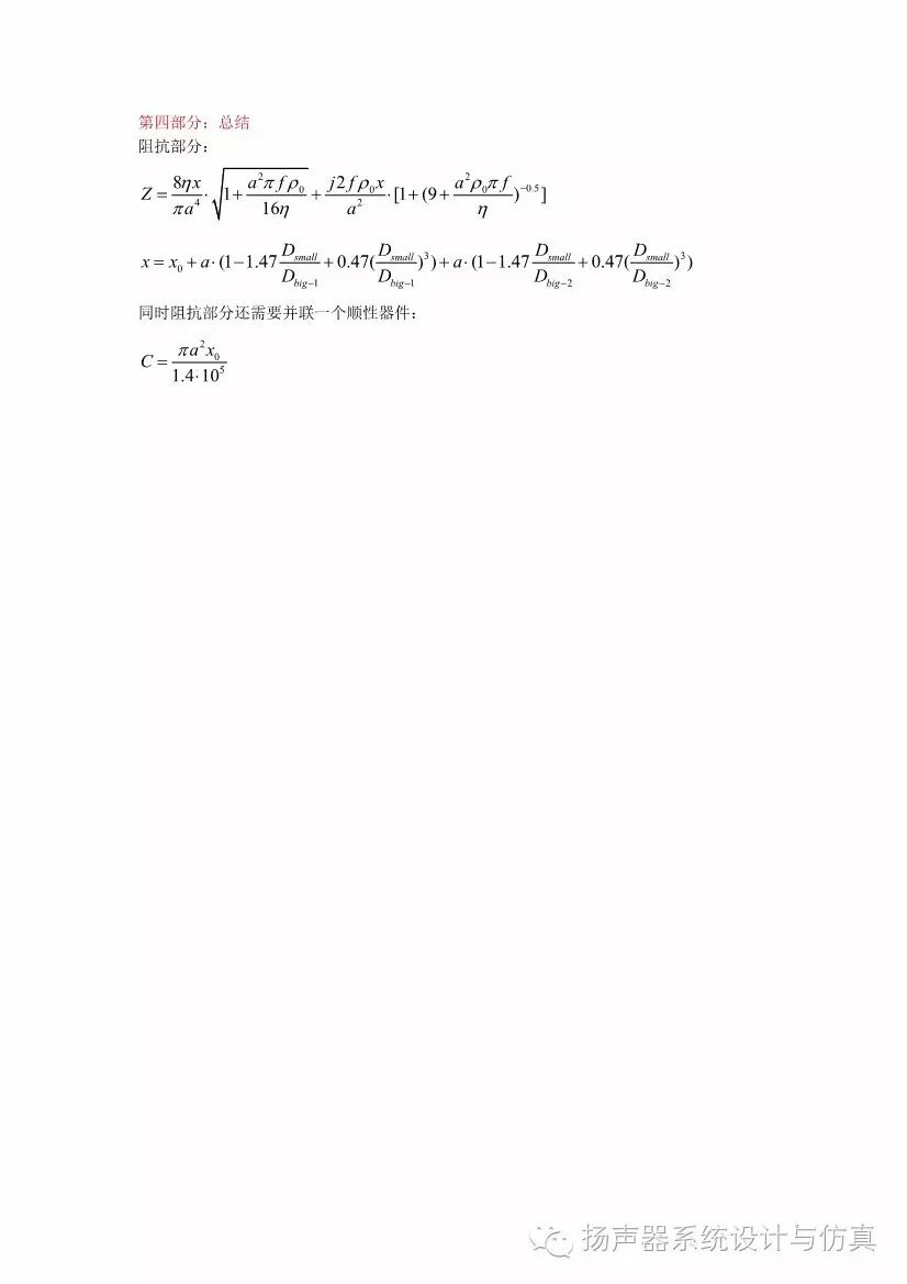
【公式较多,直接粘贴会打乱格式,所以转换成图片。把“微管严格解与近似解绘图MATLAB代码”复制在最后了,供参考。】












背景介绍:
声学短管是设计动铁单元时经常会遇到的一种结构。无论是单体本身的导声管还是ITE或者BTE的模拟声管,我们都需要更为精确的结构模型以获得精确的模拟结果。对于声学管模型在ER 076B; ER122A; ER167中都有论述。本篇报告主要针对短声管(即声管长度小于波长的十分之一)的建模。建模时主要考虑三个方面:粘滞媒质的运动方程,管末端修正以及声管本身的微小体积顺性修正。
附录:
微管严格解与近似解绘图MATLAB代码
%%%%%Impedancefor micro-tube(strict solution&approximate solution)
%%%%%%%%%%%%%%%%%%%%%%%%%%%%%by Qing Wang
clear;
f=(10:10:20000);%frequency from 10Hz to 20kHz
k=(1-j)*(1.2*3.14*f/1.8*100000).^0.5;
a=besselj(0,k.*0.00055245);%0 bessel function
b=besselj(1,k.*0.00055245);%1 bessel function
t0=f./f;% 1
t1=(2*b)./(k.*a*0.00055245);
z=(-j*2*1.2*f.*0.0012/(0.00055245^2)).*((t0-t1).^-1);%acoustic impedance
z0=abs(real(z));%acoustic resistance
z1=abs(imag(z));%acoustic reactance
%%%%%drawing%%%%%
figure;h=plot(f,z0);gridon;
xlabel(‘Frequency’);ylabel(‘Acoustic Resistance’);title(‘Acoustic Resistance’);
set(h,‘LineSmoothing’,‘on’)
figure;h=plot(f,z1);gridon;
xlabel(‘Frequency’);ylabel(‘Acoustic Reactance’);title(‘Acoustic Reactance’);
set(h,‘LineSmoothing’,‘on’)
%%%%%dataexporting%%%%%
z0=z0’;z1=z1’;f=f’;